Blameworthy: How Party Loyalty Corrupts Voter Judgment
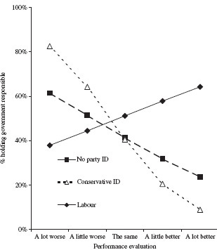
Michael Marsh and James Tilley’s “The Attribution of Credit and Blame to Governments and Its Impact on Vote Choice” (British Journal of Political Science 2009) has two exceptionally compelling figures. The first is for Britain voters, the second for Irish voters. Each figure shows the fraction of voters who hold the government responsible given their beliefs about current economic conditions. And each figure breaks down the results by voters’ party. Here are the British results for 2001, when Labour was the incumbent party:

Notice: Conservatives and independents strongly blame the government when they think conditions are bad, but give little credit when they think conditions are good. For Labour voters, the pattern completely reverses: credit for good conditions, but little blame for bad conditions.
The same pattern appears in Ireland:

Once again, independent and opposition voters have the pessimist’s double standard: They’re a lot more likely to blame the government for bad results than credit it for good results. And once again, supporters of the government have the optimist’s double standard: they’re a lot more likely to credit the government for good results than to blame it for bad.
I’m tempted to say that rational voters would have horizontal lines in these performance-responsibility figures, but that’s hardly necessary. Maybe government action is required to make the economy “a lot worse” or “a lot better,” while more moderate outcomes depend on outside forces. But I will say that with rational voters, the performance-responsibility function would not depend on party.
An interesting variation to try: Suppose you asked Americans to assess the link between performance and responsibility in, say, El Salvador. What would the Americans say? Would their detachment more than compensate for their ignorance?
The post appeared first on Econlib.

